[钻井技术:501]超深水平井尾管悬挂器下部环空压力预测及其应用

发表于 讨论求助 2023-05-10 14:56:27

[来源:石 油 钻 采 工 艺]作者:丁亮亮1、杨向同 1、刘洪涛 1、张 宇 2(1. 中国石油塔里木油田分公司, 新疆库尔勒 841000;2. 重庆矿产资源开发有限公司, 重庆 401121)


摘要:

超深水平井多封隔器分段改造作业过程中, 井筒温度下降造成尾管悬挂封隔器下部环空压力下降, 易造成尾管悬挂封隔器、 下部分段改造封隔器和油管柱失效。针对典型分段改造水平井井身结构, 开展分段改造过程中尾管悬挂封隔器下部环空压力变化的影响因素和潜在后果分析, 综合考虑油管柱鼓胀效应引起的环空体积变化、 井筒压力温度变化引起的环空流体体积变化和井筒温度变化引起的油管柱体积变化对尾管悬挂封隔器下部环空压力的影响, 建立了尾管悬挂封隔器下部环空压力变化预测模型。以塔里木油田一口超深水平井为例, 开展了分段改造过程中尾管悬挂封隔器下部环空压力预测, 并在此基础上开展了封隔器和改造管柱力学分析。分析结果表明:超深水平井分段改造过程中, 由于井筒温度场急剧下降, 尾管悬挂封隔器下部环空压力相对坐封工况将发生大幅下降, 从而给改造管柱和封隔器带来非常大的失效风险, 超深水平井分段改造管柱设计过程中必须充分考虑该因素。


正文:

由于设计和施工的原因, 油气井井身结构内部可能存在一个或多个封闭空间, 如带封隔器管柱的油套环空、 存在自由套管段的各套管环空。在测试或生产初期, 由于井筒温度的快速上升, 井口各层套管环空封闭的流体温度也会开始上升, 从而导致环空封闭空间内的压力升高, 可能导致油管失效、 套管失效和井口抬升等问题, 国内外对此做了大量研究[1-4]。超深水平井分段改造作业过程中, 井筒温度急剧下降引起尾管悬挂封隔器下部环空压力变化, 作业管柱和封隔器的受载状况恶化, 易造成改造管柱和封隔器失效。国内外相关研究非常少, 相关文献均假设尾管悬挂封隔器下部环空压力等于环空完井液流体压力 [5] , 而对于超深水平井需要精确考虑作业过程中尾管悬挂器下部环空压力的变化。笔者针对典型分段改造水平井井身结构, 充分考虑尾管悬挂封隔器下部环空压力各影响因素, 建立尾管悬挂封隔器下部环空压力预测模型, 并通过实例井对预测方法进行了验证和应用。


1 物理模型

典型分段改造水平井井身结构及管柱如图 1 所示, 首先采用钻杆送入尾管悬挂器和封隔器管串到预定位置, 投球打压一次性坐封悬挂器和所有封隔器, 然后丢手送入钻杆柱、 上提送入钻杆柱, 下入完井管柱至悬挂器顶部棘齿密封并坐挂油管, 最后进行逐段改造后排液、 投产。


尾管悬挂器与下部第 1 个封隔器间的套管不射孔, 因此, 尾管悬挂器、 下部第 1 个封隔器、 油管和生产套管组成了一个完全封闭空间。超深井大排量分段改造过程中, 由于井筒温度下降和油管内压力上升, 环空内流体收缩和油管柱收缩将导致尾管悬挂器下部环空压力下降, 油管柱鼓胀效应引起的环空体积缩小和环空压力下降引起的流体体积膨胀使尾管悬挂器下部环空压力上升, 尾管悬挂器下部环空压力受以上 4 个因素的综合影响。


超深水平井分段改造作业过程中, 尾管悬挂封隔器下部环空压力变化将影响分段改造管柱和封隔器的受力状况, 随着井深、 改造规模和地层压力的增加, 尾管悬挂封隔器下部环空压力变化越大, 尾管悬挂封隔器下部环空压力变化对改造管柱的安全性影响也越大。


2 数学模型

尾管悬挂器下部环空中充满了完井液, 该封闭空间内流体的压力满足以下函数关系 [6]


式中, p 为尾管悬挂器下部环空当前压力, MPa;T为尾管悬挂器下部环空温度, ℃ ;V p 为尾管悬挂器下部环空体积,m3 ;m 为尾管悬挂器下部环空流体质量, kg。


由式(1) 可以得出, 尾管悬挂器下部环空压力由井筒温度下降引起的流体收缩、 环空体积变化和环空流体总量变化 3 个因素决定的。改造过程中井筒温度下降引起流体收缩造成的尾管悬挂器下部环空压力下降可由下式计算


尾管悬挂器下部环空体积变化造成的尾管悬挂器下部环空压力变化可由下式计算


式中, κ T 为尾管悬挂器下部环空内流体等温压缩系数, MPa -1 ;a a 为尾管悬挂器下部环空内流体的热膨胀系数, ℃-1 ;ΔT 为尾管悬挂器下部环空温度的增加量, ℃ ;ΔV a 为尾管悬挂器下部环空体积的增加量,m3;V a 为尾管悬挂器下部环空流体体积,m3 。尾管悬挂器下部环空为完全封闭空间, 环空内流体质量保持恒定, 因此, 尾管悬挂器下部环空内流体质量变化造成的尾管悬挂器下部环空压力变化量为 0。


综合式(2) 和式(3) 可得尾管悬挂器下部环空压力变化的表达式为 [10]


井筒温度下降引起流体收缩造成的环空压力下降 Δp t , 根据分段改造过程中环空温度变化量, 结合环空流体的压缩系数和热膨胀系数便可计算出来。环空体积变化造成的尾管悬挂器下部环空压力变化Δp v 的计算, 需要先计算出分段改造过程中封隔器间环空体积的增加量ΔV a 。 相对于封隔器坐封工况,分段改造作业过程中井筒压力温度均发生了较大变化, 从而造成封隔器间油管柱与生产套管间环空体积的缩小, ΔV a 包括以下 4 个部分。


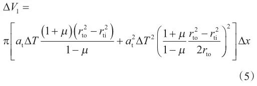
(1) 油管径向收缩。油管柱会因温度降低而发生径向收缩, 使尾管悬挂器下部环空的体积增大。根据温度变化引起的油管柱径向位移计算, 可得温度变化引起的环空体积增加量为 [7]


式中, a t 为油管柱的热膨胀系数, ℃-1 ;μ 为油管柱的泊松比;r to 为油管外径, m; r ti 为油管内径, m;Δx 为油管柱微元段长度, m。


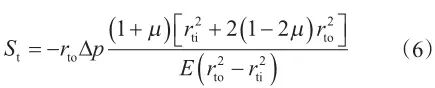
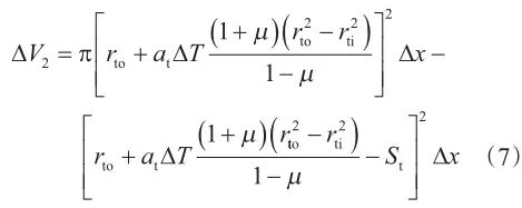
(2) 油管径向压缩。油管柱外表面因环空压力降低将产生径向压缩, 使尾管悬挂器下部环空的体积减小。油管内外压差变化产生的油管径向位移为 [8]


式中, E 为油管柱材料的弹性模量, MPa。油管内外压差变化引起的环空体积变化为

(3) 环空流体收缩。封隔器间环空中流体因温度降低会发生体积收缩, 由此引起的封隔器间环空体积变化为


式中, r ci 为生产套管内径, m。

(4) 环空流体膨胀。封隔器间环空压力降低会使环空内流体膨胀, 由此产生的封隔器间环空体积变化为 [9]


式中, E a 为尾管悬挂器下部环空内流体体积模量,MPa。


因此, 封隔器间环空总体积变化量为


由于封隔器间环空压力变化由流体冷收缩和环空体积变化 2 个因素决定的, 且这 2 个因素间又相互影响, 因此, 通过井筒瞬态温度场预测 [10] , 结合式


(2) 便可得出环空流体热胀冷缩引起的封隔器间环空压力变化, 对式(5)~(10) 进行迭代计算便可得出环空体积变化造成的尾管悬挂器下部环空压力变化, 结合式(4) 便可计算出尾管悬挂器下部环空压力的瞬态变化。


3 实例井分析

塔里木油田某超深水平井基本参数为:完钻井深 7 163 m, 垂深 6 495 m, 造斜点 6 244 m, 井底温度 158 ℃, 地温梯度 2.4 ℃ /100 m, 地层压力系数


1.14, 井底压力 74.7 MPa, 作业管柱包括 1 个尾管悬挂器封隔器和多个分段改造封隔器, 尾管悬挂封隔器下深 6 215 m, 尾管悬挂封隔器下部第 1 个封隔器下深 6 452 m。酸压施工泵压 70~75 MPa, 施工排量6~7 m 3 /min。


根据酸压施工工况参数, 开展井筒压力场和温度场模拟, 得出酸压过程中井筒压力场和温度场见图 2。从图 2 可以看出, 直井段油管内压力随井深逐渐增大, 水平段油管内压力随井深逐渐减小, 尾管悬挂封隔器下部油管内压力约 118 MPa;尾管悬挂封隔器下部油管内流体平均温度为 37 ℃。相对于原始地温下降了 116 ℃。


根据尾管悬挂封隔器下部环空压力温度变化,采用本文建立的数学模型, 便可开展尾管悬挂封隔器下部环空压力预测, 得出尾管悬挂封隔器下部环空压力随时间的变化关系(图 3) 。从图 3 中可以看出:随着酸压作业时间的增加, 由于井筒温度的持续下降, 尾管悬挂封隔器下部环空压力逐渐下降, 泵注时间达到 20 min 时, 封隔器间环空压力基本稳定在 0 MPa 左右。


传统的设计方法均不考虑改造作业对尾管悬挂封隔器下部环空压力的影响, 认为尾管悬挂封隔器下部环空压力保持不变。本文以改造过程中尾管悬


挂封隔器下部环空温度预测为基础, 结合环空压力模拟, 开展改造管柱、 尾管悬挂封隔器和尾管悬挂封隔器下部第 1 个封隔器的强度校核(其他封隔器同理) , 强度校核结果见图 4、 图 5, 从图中可以看出:采用传统设计方法, 本井的改造管柱、 尾管悬挂封隔器和尾管悬挂封隔器下部第 1 个封隔器均满足设计要求, 作业过程中管柱和封隔器均安全;考虑改造引起的尾管悬挂封隔器下部环空压力下降后, 封隔器间改造管柱的三轴应力小于设计安全系数, 封隔器受载状态均超出了信封曲线, 作业过程中改造管柱、尾管悬挂封隔器和尾管悬挂封隔器下部第 1 个封隔器均存在风险大的失效风险, 必须重新进行管柱设计或采取有效的风险缓解措施。


4 结论

(1) 针对超深水平井分段改造管柱尾管悬挂封隔器下部环空, 综合考虑油管柱鼓胀效应引起的环空体积变化、 井筒压力温度变化引起的环空流体体积变化和井筒温度变化引起的油管柱体积变化对尾管悬挂封隔器下部环空压力的影响, 建立了尾管悬挂封隔器下部环空压力变化预测模型。


(2) 针对塔里木油田一口超深水平井开展了分段改造管柱尾管悬挂封隔器下部环空压力预测, 结合管柱力学分析得出:超深水平井分段改造过程中,由于井筒温度场急剧下降, 尾管悬挂封隔器下部环空压力相对坐封工况将发生大幅下降, 从而给改造管柱和封隔器带来非常大的失效风险, 超深水平井分段改造管柱设计过程中必须充分考虑该因素。


发表
26906人 签到看排名